• Portfolio
  • Blue-Waves WaterPark
  • Namjoo Factory
  • Spaceframe Designer
  • HandyCalc
  • PROJECT CONTROLER
  • Portfolio
  • Blue-Waves WaterPark
  • Namjoo Factory
  • Spaceframe Designer
  • HandyCalc
  • PROJECT CONTROLER
Pipe Table

Pipe Table

This table represents a list of pipes used in the project and assigns each letter to each pipe dimension.

Cone Table

Cone Table

This table represents a list of Cones used in the project and assigns each letter to each cone dimension.

Bolt Table

Bolt Table

This table represents a list of Bolts used in the project.

Sleeve Table

Sleeve Table

This table represents a list of Sleeves used in the project.

Sphere

Sphere

This table represents a list of Spheres used in the project before drilling.

Members Table

Members Table

This table categorizes elements that are used in the project into specific types. Each element contains a pipe, cones, sleeves, and bolts.

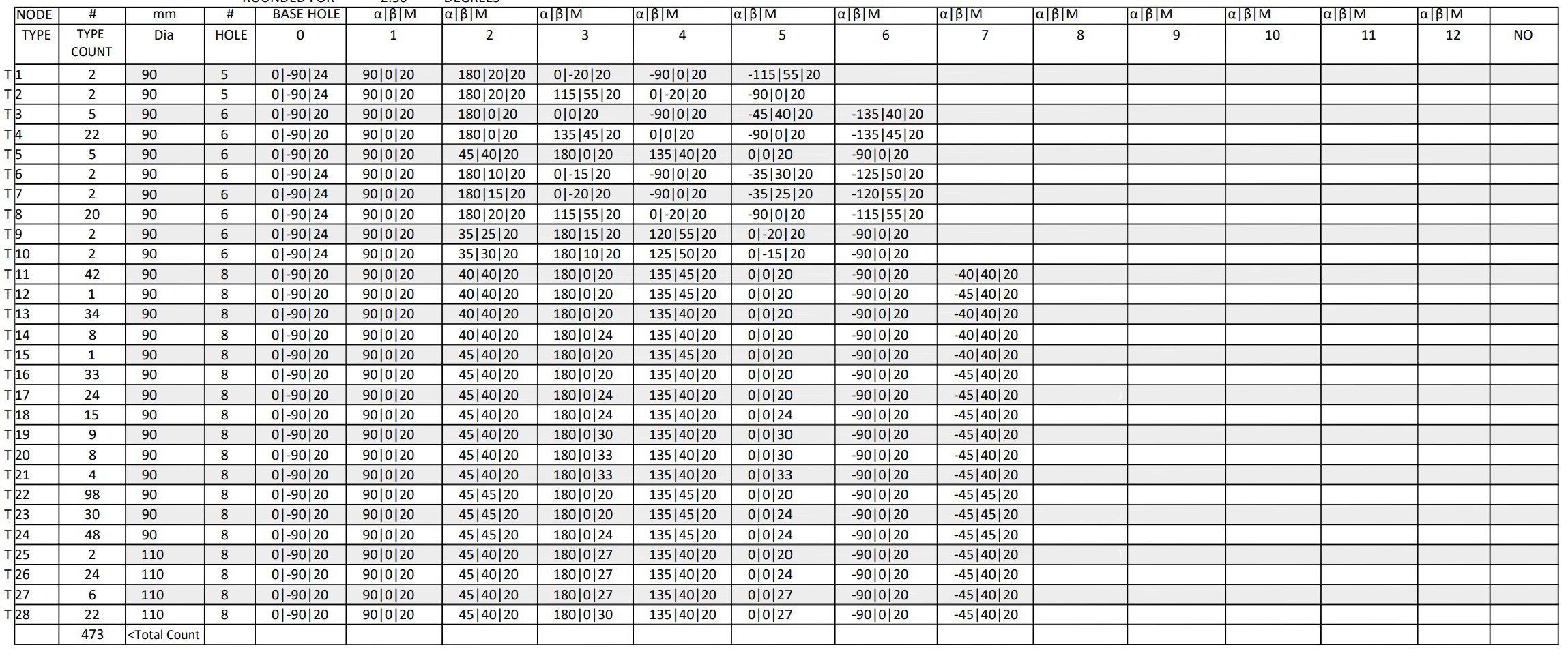
Nodes Table

Nodes Table

This table categorizes nodes that are used in the project into specific types. Each node type is distinguished by sphere diameter and number of holes. Each hoe is addressed by a horizontal and vertical angel and corresponding bolt size.

Project Estimate

Project Estimate

This table displays a brief report on the quantity, weight and total price of the project and its component types.

Elements Figure

Elements Figure

The properties of each element type in the table are shown in the figure as well for better understanding.

Node Drilling Plan

Node Drilling Plan

The properties of each node type in the table are shown in the figure as well for better understanding.

Errection Plan

Errection Plan

The element and node types that are introduced in the related tables are shown in the specific location on the erection plans.

Errection Plan

Errection Plan

The element and node types that are introduced in the related tables are shown in the specific location on the erection plans.

Support Sample Detailing

Support Sample Detailing

Mero KK-Ball Connection

Mero KK-Ball Connection

This site was created with the Nicepage